热点资讯
- 牛牛app 不啻英语! 童元戎AI凭这3大上风, 成3-8岁家庭刚需
- 抢庄牛牛 华尔街濒临新风险: 欧洲投资者“罢买”好意思国财富
- 抢庄牛牛app A股最近, 小盘成长占优
- 牛牛游戏 家说念一般的策划生,但愿你研一就知说念这些
- 牛牛游戏app 早稻田大学极端于中国什么大学? 肯求时需要谨慎什么?
- 牛牛游戏 新股音书 | 迪哲医药(688192.SH)递表港交所 两款获批药物为舒沃哲和高瑞哲
- 牛牛游戏 账户浮盈50万, 咖啡却只敢点库迪?
- 抢庄牛牛 中证A50ETF(159591)跌0.30%, 成交额2363.99万元
- 牛牛 自考谋划机类专科礼聘指南: 前端、后端、运维哪个更安妥零基础
- 抢庄牛牛 狂飙超100%! AI讹诈龙头爆火, 后市能否连续冲?
牛牛游戏app 高一数学上期——样本臆度总体的数字特征同步强化及谜底
- 发布日期:2026-01-26 23:16 点击次数:127


一、总体集聚趋势的臆度

温馨领导
1.一组数据的平均数、中位数齐是唯独的.众数不惟独,不错有一个,也不错有多个(如1,2,2,3,3,4,5,6这组数的众数是2和3),还不错莫得(如1,2,3,4,5,6这组数就莫得众数).
2.众数一定是原数据中的数,平均数和中位数齐不一定是原数据中的数.
二、中位数、众数、平均数行使

三、总体破碎经过的臆度

温馨领导
1、描画数据破碎经过的另一统计量——极差,极差反馈了一组数据变化的最大幅度,它对一组数据中的顶点值相配敏锐,一般情况下,极差大,则数据较分布,数据的波动性大;极差小,则数据相对集聚,数据的波动性小极差的算计相配简便,但极差只计划了两个顶点值,而莫得计划中间的数据,因此许多工夫,极差四肢数据的破碎经过的统计量,可靠性较差.
2、极差的取值鸿沟是[0,+∞).尺度差的大小不大于极差.
3、尺度差描摹了数据的破碎经过或波动幅度,尺度差越大,数据的破碎经过越大;尺度差越小,数据的破碎经过越小.
4、在描摹数据的破碎经过上,方差与尺度差是相似的,但在措置现实问题时,一般摄取尺度差.
5、尺度差(方差)的取值鸿沟为[0,+∞).若样本数据齐很是,标明数据莫得波动幅度,数据莫得破碎性,则尺度差为0.反之,尺度差为0的样本,其中的数据齐很是.
四、方差尺度差的行使

五、平均数、方差的算计要害



六、平均数、方差性质


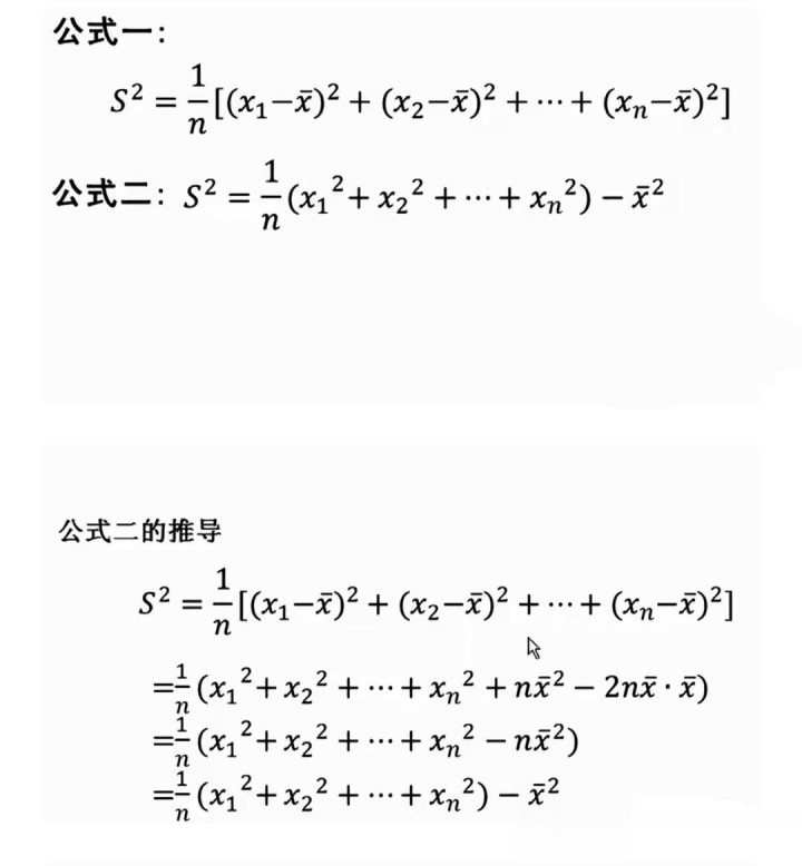
七、常用方差公式


题目





谜底
1

2

3

4

5

6

7

8
{jz:field.toptypename/}
9

10

11

12

13

14

15

16

17

18

推荐资讯
- 抢庄牛牛 吐血安利年度好书《萌宝暴击:爹地妈咪撒狗粮》,边读边遐想爱情最美的样子!2026-01-30
- 抢庄牛牛 黛珂心悦容光蜜粉:16小时不脱妆的「柔雾滤镜」2026-01-30
- 抢庄牛牛 合家欢喜剧电影《熊猫计划之部落奇遇记》定档2026年春节上映2026-01-29
- 抢庄牛牛app 爱情与事业, 总让人难以取舍2026-01-29
- 抢庄牛牛 电视剧《豫东之战》筹拍,粟裕夫人楚青建议:找王希先同志最合适2026-01-29
- 牛牛游戏app 央视《生命树》定档!杨紫携手全明星阵容,年代剧的春天又来了2026-01-29
